Шнобелевская премия
пиво налито в стакан
Клаудио К. Пеллегрини
 (Claudio C. Pellegrini)
Клаудио К. Пеллегрини (Claudio C. Pellegrini)
типичное портативное устройство для хранения жидкости
Типичное портативное устройство для хранения жидкости
Сар
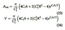
площадь и объем стекла
Генерация кривой стакана
Генерация кривой стакана





Оптимизация формы пивных бокалов



Поиск минимизации теплопередачи во время употребления пива на пляже

Клаудио К. Пеллегрини (Claudio C. Pellegrini), Федеральный университет Сан-Жуан-дель-Рей, Бразилия, опубликовал работу "Оптимизация формы пивных бокалов для минимизации теплопередачи во время потребления", Cornell University, arXiv:2402.18544, 28 февраля 2024, ранняя версия опубликована на португальском языке в издательстве Rev. Bras. Ensino Fis., 41(3), 2019 г.

Эффективная педагогическая стратегия в области математического и физического образования предполагает демонстрацию учащимся того, как теории, преподаваемые в классе, могут быть использованы для решения повседневных проблем. Тем не менее, чаще всего это оказывается трудной задачей. Немногие повседневные задачи в физике обладают таким уровнем простоты, который позволяет их аналитическое рассмотрение, при этом охватывая все связанные с ними явления.

В области математики поиск практических задач, которые легко понять, но которые можно решить с помощью простых методов, является еще более сложной задачей. В последнее время приобрел интерес идеи о том, как разделить пиццу на произвольное количество нетрадиционно разделенных частей.

Руководствуясь этой проблемой, автор предложил провести анализ, связанный с напитком, который, возможно, лучше всего сочетается с пиццей: пивом. В тропических странах, таких как Бразилия, постоянно возникает проблема, как сохранить холод во время потребления, особенно в прибрежных регионах.

В данной статье рассматривается проблема поиска оптимальной формы пивного бокала, при которой скорость теплопередачи будет минимальной, чтобы напиток оставался холодным как можно дольше в процессе его употребления. Цель состоит в том, чтобы побудить студентов-инженеров развивать рациональный подход к проблемам физики, отказавшись от довольно распространенной концепции о том, что теория на практике отличается. Исследование также стремится помочь улучшить вкусовые качества нашего пива.

Проблему поддержания жидкости в резервуаре при минимально возможной температуре можно решить, путем нахождения поверхности, которая минимизирует отношение площади резервуара к объему. Греки знали, хотя и не могли доказать это строго, что ответом на двумерную версию этой проблемы является круг. Более поздние открытия показали, что твердым телом с наименьшим соотношением поверхности к объему является сфера. В настоящее время эта проблема решается путем применения изопериметрического неравенства в 3 измерениях (для которого существует множество доказательств) или с помощью концепций вариационного исчисления.

Применения оптимизации соотношения поверхности к объему многочисленны и распространяются практически на все области науки. Общим в таких исследованиях является то, что поверхность теплообмена не меняет форму в ходе процесса. Однако это не так, если учитывать теплообмен стакана жидкости с окружающей средой во время потребления. Даже в цилиндрическом стакане общая обменная поверхность претерпевает изменения формы в процессе питья. По мере снижения уровня жидкости боковая площадь уменьшается, а верхняя остается сохраненной.

Следовательно, вопрос, на который необходимо ответить, заключается в следующем: какова оптимальная поверхность, меняющая форму, которая минимизирует передачу тепла путем конвекции на стакане с жидкостью с его окружением? Другими словами, каков идеальный пивной бокал, учитывая потенциальные изменения формы по мере употребления жидкости?

Процесс здесь довольно прост: делается запрос на пиво, официант приносит его, оно подается и потребляется. Повторить. После того, как пиво налито в стакан, оно начинает обмениваться теплом с окружающей средой, и этот процесс длится до тех пор, пока не достигнет теплового равновесия с окружающей средой (включая стакан), а результат, по сути, никому не нужен. В зависимости от первоначальной разницы температур между пивом и окружающей средой, через короткий промежуток времени напиток может стать непригодным для употребления. В наиболее благоприятном случае температура окружающей среды 10C и температура пива 4C. Личный опыт показывает, что может пройти до 30 минут, прежде чем пиво нагреется.

В наиболее критическом сценарии, например, на пляже в ветреный день с температурой 38C, всего 3 минут может быть достаточно (опять же на основе личного опыта, многократно повторяемого), чтобы пиво стало непригодным для питья. Следовательно, пляж является наиболее сложной средой для питья пива: температура воздуха высокая, ветер постоянный, солнце светит, пиво нагревается.

Существует несколько признанных практических методов уменьшения теплопередачи пива с окружающей средой. Использование изоляционных трубок из пенополистирола (EPS или Styrofoam®), вероятно, является наиболее распространенным и также используется для изготовления пивных бутылок в Бразилии. Использование ручек на кружках также распространенный метод изоляции тепла рук потребителя от напитка внутри контейнера. Привычка сохранять слой пены на поверхности пива действует как теплоизолятор из-за его низкой проводимости. Кроме того, это также предотвращает чрезмерную потерю CO2.

Чтобы сформулировать наиболее общую версию проблемы, рассмотрим контейнер, содержащий жидкость, изначально не находящуюся в тепловом равновесии с окружающей средой. Предположим, что сосуд представляет собой тело вращения, порожденное вращением кривой S вокруг вертикальной оси y. Такая геометрия описывает все имеющиеся в продаже контейнеры, за исключением некоторых неосесимметричных невозвратных пивных бутылок. Однако S не является полностью неограниченной: должно быть ровно одно отверстие и одно непроницаемое дно.

Чтобы приступить к конкретизации задачи, предположим теперь, что корпус сосуда имеет пренебрежимо малое термическое сопротивление, а его дно теплоизолировано. Это разумное приближение для пивных бокалов, корпус которых изготовлен из тонкого стекла для удобства, а дно из толстого стекла для обеспечения механической устойчивости. Разумной гипотезой также является привычка ставить пивные стаканы на изолирующие поверхности, такие как столы, прилавки и картонные диски (знаменитая «вафля»).

Кроме того, температура пива остается одинаковой по всему стакану, пока оно пьется. Это справедливо, когда скорость изменения температуры во времени невелика, что позволяет жидкости достичь мгновенного теплового равновесия. При таких обстоятельствах начальная разница температур между жидкостью и окружающей средой не должна быть чрезмерно большой, что и происходит всегда.

Наконец, предположим, что жидкость однородна. Эта характеристика справедлива для большинства фильтрованных сортов пива, не образующих скоплений на дне, включая Вайценбир. Некоторые сорта крафтового пива содержат небольшое количество дрожжевого осадка и здесь не рассматриваются.

Из закон сохранения энергии, используя понятие термического сопротивления, выводятся уравнения одно из другого на пяти страницах. Дерзкая минимизация теплопередачи позволяет фантастически минимизировать до самого минимального. Дифференцирование h по результатам. Упрощение и внезапная перестановка. Возведение в квадрат. Подставление уравнений в другие уравнения, интегрирование от 0 до H, дает общую площадь и объем стекла - формулы (23) и (24).

Они показывают экспоненциальную зависимость r от v h. Поэтому следует ожидать быстрого роста r с увеличением h под влиянием параметра C1, который, как показано, не может быть выбран произвольно. Полученное решение является аналитическим, а выражение для S находится в замкнутой форме, что обеспечивает семейство оптимальных форм стекла, которые можно изготовить. Предлагаемое решение позволяет избежать использования изоляционных материалов. Основной целью, конечно же, было повысить интерес студентов инженерных специальностей к физике и математике.

28.05.2024

Комментарий:




Авиационная Шнобелевская премия 2025

Египетским крыланам требовалось больше времени для полёта между посадочными полосами после кормления пищей, содержащей этанол, 3,49 с (среднее значение), чем при кормлении без этанола, 2,19 с. Вывод: этанол влияет на двигательную активность летучих мышей
подробнее

Шнобелевская премия-1994-экономика

Хуан Пабло Давила, Чили, продавец финансовых фьючерсов и бывший сотрудник государственной компании Коделко, за то, что давал своему компьютеру команды покупать вместо команды продавать, которые привели к убыткам в 0,5% валового национального продукта Чили
подробнее

Источник - пресса
(c) 2010-2026 Шнобелевская премияig-nobel@mail.ru